
- Industry: Research
- Region: Europe
Plant Lighting: Gardin detects Phase III photosynthesis decline in Phalaenopsis orchid
Summary
- Gardin detected Phase III photosynthetic decline associated with malate depletion in real-time
- Real-time photosynthesis measurements enable orchid growers to optimise lighting and shading
- Gardin detects stress within 48 hours of temperature reduction, up to three weeks before visible symptoms
"Gardin could reliably detect the transition of CAM-phase III into IV with its sensor. Moreover, it was able to rapidly detect the malate depletion across multiple cultivars simultaneously and repeatedly at varying temperatures. I see strong potential for its use in commercial orchid cultivation, phenotyping plant research, and genetic breeding."
Dr Sander Hogewoning, Director of Plant Lighting B.V
Chlorophyll Fluorescence Reveals the Hidden Limits of CAM Photosynthesis
Phalaenopsis orchids follow a unique photosynthetic pathway called Crassulacean Acid Metabolism (CAM). CAM plants open their stomata at night, absorbing CO₂ and storing it as malic acid (Phase I, Fig. 1), while during the day, they close their stomata to reduce water loss and rely on stored CO₂ for photosynthesis (Phase III).
This adaptation is vital in arid natural environments but creates a hidden bottleneck in greenhouse cultivation—once the plant depletes its internal CO₂ store, photosynthesis plummets (Phase III). This transition point can shift daily depending on conditions, making it difficult for growers to predict when a plant becomes CO₂-limited and intervene effectively.
As a result, delayed responses lead to production losses. Designed for commercial greenhouses, the Gardin remote sensor monitors photosynthetic performance across 10 m², providing crop-representative measurements for confident steering. By continuously monitoring photosynthetic performance, Gardin identifies malate depletion, CO₂ limitation, and light stress in real-time.
In collaboration with Plant Lighting, Gardin validated its measurements for scientific accuracy, reliability and scalability in orchid cultivation, observing the onset of CO₂ depletion (Fig. 2) within minutes across multiple varieties and light spectra. Gardin also detected photosynthetic stress within 48 hours of the transition from 29 °C to 21 °C, three weeks before visible damage.
These insights are critical for growers to act quickly to optimise lighting and climate strategies in real-time, avoiding production losses, improving crop consistency, and reducing energy use.

Figure 1. The four phases of CAM photosynthesis over a 24-hour photoperiod.

Figure 2. Gardin captured the decline in photosynthetic efficiency at the end of CAM Phase III (shown at 29 °C).
Gardin Detects Malate Depletion Across Cultivars Benchmarked Against LI-COR
An independent research trial was conducted at Plant Lighting, a leading research centre for horticulture, to investigate malate depletion in Phalaenopsis orchid. As part of this trial, Gardin measured the photosynthetic efficiency of two cultivars (Leeds and Freeride) under two lighting treatments: artificial sunlight and LED (84/9/6/10% R/G/B/Fr). Measurements were conducted during two temperature regimes representing a growth phase (29 °C daily average) and a chilling phase (21 °C daily average). To validate Gardin measurements, reference measurements were taken with a LI-COR (LI 6800) on multiple days at both temperatures. Gardin detected noticeable differences in φPSII between lighting spectra, repeatedly across multiple days. Lower φPSII was detected in the LED treatment with both Gardin and LI-COR (Fig. 3). The detection of the end of CAM Phase III was similar between Gardin and LI-COR, with a decrease occurring within 30 minutes of each other. This pattern was similar across temperatures, spectra, and cultivars. With respect to temperature, the decrease in φPSII was more pronounced at 29 °C than at 21 °C.

Figure 3. Photosynthetic efficiency (φPSII) declined more strongly under LED than under sunlight spectra, particularly at 29 °C. Detection of the end of CAM Phase III was similar between Gardin and LI-COR.
Early Detection of Chilling Stress Through Photosynthesis Monitoring
During the Plant Lighting trial, Gardin detected a significant decline in night-time photosynthetic efficiency within 48 hours of the transition from 29 °C to 21 °C, with visible chilling damage observed three weeks later (Fig. 4-5). The decline was associated with chilling damage in both cultivars, and was more pronounced in Freeride.
This early stress detection highlights the impact of chilling on orchid health and photosynthetic performance, and demonstrates that Gardin enables growers to implement timely interventions before visible crop deterioration occurs.

Figure 4. Early chilling stress detected through a decline in nighttime photosynthetic efficiency (Fv/Fm).

Figure 5. Chilling damage (purple spots) on Freeride.
Higher Light Intensity Accelerates Photosynthetic Shutdown
To further investigate the effect of light intensity on malate depletion and photosynthetic health in Phalaenopsis orchids, Gardin conducted controlled experiments at its research facility.
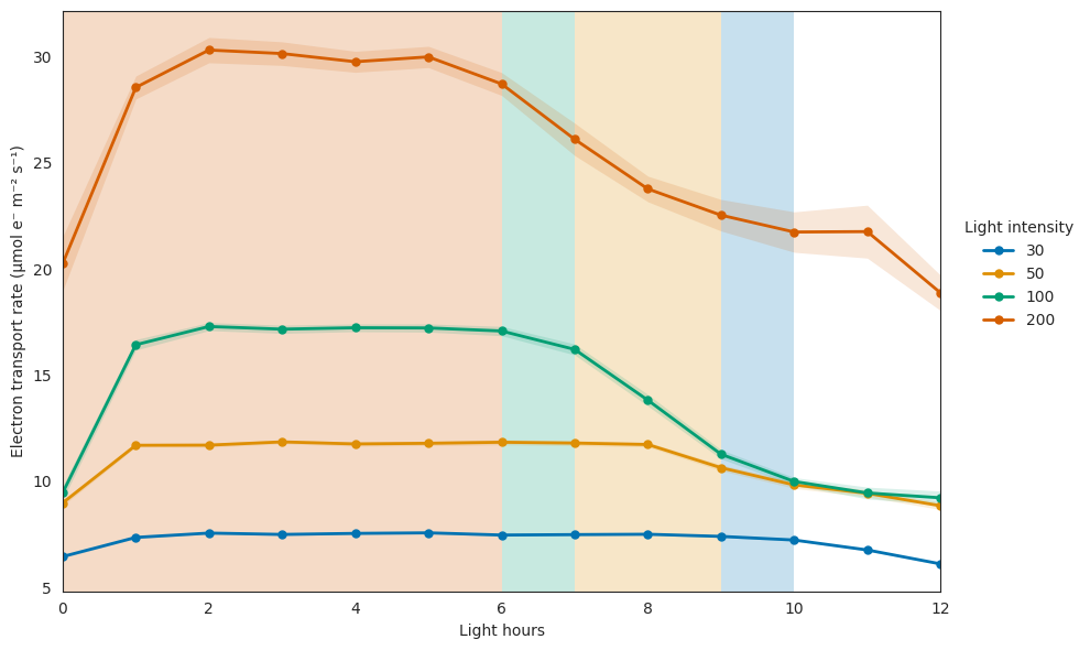
During the baseline phase, all shelves were maintained under a 12/12 h day/night photoperiod and set to 100 µmol m ⁻² s⁻¹ (65/8/22/5% R/G/B/Fr). Following baseline measurements, shelves were adjusted to one of four light intensities (30, 50, 100, and 200 µmol m ⁻² s⁻¹) and switched to a 14/10 h day/night photoperiod.
Faster Malate Depletion at Higher Productivity
Gardin's PRODUCTIVITY index quantifies the conversion of light into chemical energy, known as the electron transport rate. Productivity increases with light intensity, with the highest Productivity observed at 200 µmol m ⁻² s⁻¹ and the lowest at 30 µmol m ⁻² s⁻¹ (Fig. 6). Across all treatments, maximum Productivity was achieved within the first 2 - 3 hours of the light period, however, the onset of CAM Phase IV was intensity-dependent. At 200 and 100 µmol m ⁻² s⁻¹, Productivity decreases 7 hours after lights-on, at 50 µmol m ⁻² s⁻¹ 9 hours after, and at 30 µmol m ⁻² s⁻¹ 10 hours after lights-on.
Identifying the decline in malic acid directly informs when to reduce lighting or increase shading, helping to protect the photosystems and maintain high plant quality.
"By monitoring declines in photosynthetic efficiency across a population of plants rather than a single leaf, growers can confidently adjust lighting or shading to protect crop health and boost performance."
Dr Olivia Wise, Senior Crop Scientist at Gardin

Figure 6. Electron transport rate (Productivity) measured with Gardin decreased after 7 h at 200 and 100 µmol m ⁻² s⁻¹, after 9 h at 50 µmol m ⁻² s⁻¹, and after 10 h at 30 µmol m ⁻² s⁻¹.
Prolonged Exposure to Excessive Light Causes Photodamage
Gardin's EFFICIENCY index quantifies what percentage of light that is used for photosynthesis, while the HEALTH index is a quantitative measure of the vigor of the plant.
Plants grown under 30 µmol m ⁻² s⁻¹ maintained stable nighttime photosynthetic efficiency throughout the experiment (~70%; Fig. 7). In contrast, plant health declined progressively with higher light intensities.
Prolonged exposure to high light levels, particularly once malic acid reserves were depleted, led to greater stress and photosystem damage. Such stress reduces the capacity for overnight recovery and, over the longer term, could result in visible leaf deterioration and eventually reduced floral quality.

Figure 7. Photosynthetic health under different light intensities: plant health declined over time at both 200 and 100 µmol m⁻² s⁻¹, with the lowest overall health observed at 200 µmol m ⁻² s⁻¹.
Conclusions
This case study demonstrates Gardin's value in monitoring photosynthetic performance and plant quality in Phalaenopsis orchids. Gardin's autonomous, non-invasive optical sensors are already in use by commercial CAM plant growers to optimise lighting and shading strategies, improve plant performance, reduce energy waste, and detect early signs of plant stress.
Beyond commercial production, these insights are supporting breeding programs by phenotyping cultivar responses under variable light and temperature conditions at scale and autonomously 24-hours per day. Together, these applications highlight the role of real-time photosynthetic analytics as a foundation to support data-driven crop production.
To start your journey towards understanding your plants better, please contact us to start the sales process.
References
Heyduk K. (2022). Evolution of Crassulacean acid metabolism in response to the environment: past, present, and future. Plant Physiology, 190 (1), 19 - 30.
Kim J., Im N., Shim S., and Lee H. (2025) Photosynthetic acclimation of crassulacean acid metabolism orchid Phalaenopsis in response to light level. Sci Rep 15, 13016.
RELATED CASE STUDIES

Improved leaf quality based on shading recommendations

Critical insights into energy savings and plant performance

34% Gain in Packable Yield
Should your case study be featured here?
Speak to our team to find out what Gardin Pulse will unlock for you.
Contact sales